全国服务热线:158-7060-8400
手机官网
产品中心
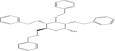
2,3,4,6-O-四苄基-D-葡萄糖

中文名称:2,3,4,6-O-四苄基-D-葡萄糖
英文名称:2,3,4,6-Tetra-O-Benzyl-D-Glucopyranose
分子式: C34H36O6
CAS号: 6564-72-3
含量:≥99% 
用途:是合成原料药伏格列波糖,米格鲁特的重要医药中间体。

 

结构式:2,3,4,6-O-四苄基-D-葡萄糖
返回主目录